前言

电容接在运放不同位置,能让电路实现积分或微分功能,还会直接改变运放波特图特性。本期介绍运放作为积分器(Integrator)。

文中素材来自于书籍《 Operational Amplifiers & Linear Integrated Circuits: Theory and Application 》第 10 章内容,该书还提供开源版本,详见参考链接 [1]、[2]、[3] 。

我只做了一些要点的梳理,详情请看原文。


从“反相放大器”到“积分器”

还记得 Parallel-Parallel Feedback 的反相放大器,它的特点是“虚地”,增益表现为 Av = Vout / Vin = - Rf / Ri :

图1 反相放大器

图1 反相放大器

最基础的积分器就是将 Rf 改为一个电容 C :

图2 基础积分器

图2 基础积分器

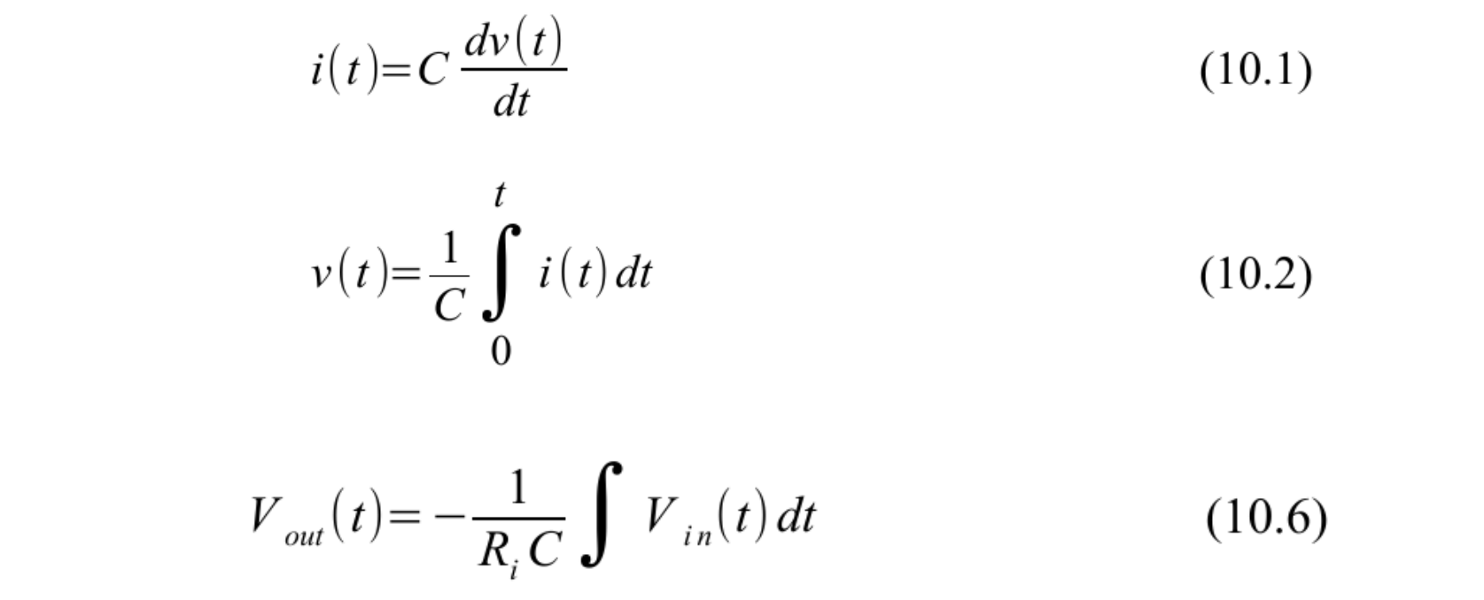
利用电容 C 两端电压/电流关系,可以推到出 Vout 与 Vin 呈现积分关系:

图3 积分关系数学表达

图3 积分关系数学表达

这个积分器的波特图如下:

图4 基础积分器的波特图

图4 基础积分器的波特图

可以看到:

  • 对比运放开环响应,积分器的波特图整体左移;
  • 积分器本质为低通特性,其幅频曲线以 - 6dB / 倍频 斜率下降;
  • 仅在曲线的斜线段(-6dB / 倍频 区间),电路才具备有效积分功能;
  • 为保障积分精度,实际工作频率应高于截止频率的 10 倍。

优化积分器的波特图

上述波特图的问题在于,直流(极低频)下电容近似开路,负反馈通路失效,电路增益由闭环积分增益退化为开环增益,此时运放容易饱和。

为解决这个问题,可以在电容上并联一个 Rf,这样在低频时候也能有闭环增益,而不是开环增益:

图5 优化积分器

图5 优化积分器

对于这个电路,波特图变为:

图6 优化积分器的波特图

图6 优化积分器的波特图

在电容两端并联电阻 Rf 后,波特图的低频段形成一个增益固定的平坦区,其增益由 Rf 与输入电阻 Ri 的比值决定,这样避免了低频开环增益。

电路的截止频率 freq_low 由 Rf 和电容 C 共同决定,频率高于 freq_low 的中高频段仍保持积分器 - 6dB / 倍频 的衰减斜率。当输入频率达到 freq_low 的 10 倍时,积分准确度可达 99%,是积分的实际有效区间。


仿真案例1 —— 积分器交流分析

我们来对比观察运放在三种配置下的响应曲线,即:开环状态、仅接电容 C 的基础积分器,以及电容 C 并联反馈电阻 Rf 的优化积分器。

构建电路与仿真,效果如下:

图7 三种情况频响对比

图7 三种情况频响对比

图中:

  • 绿色:运放开环响应曲线;
  • 青色:仅接积分电容的基础积分器响应曲线;
  • 红色:积分电容并联反馈电阻的优化积分器响应曲线。

上述结果与文中波特图一致。


仿真案例2 —— 积分器瞬态分析

我们对该实用积分器开展瞬态仿真分析:

图8 积分器瞬态分析-正弦输入余弦输出

图8 积分器瞬态分析-正弦输入余弦输出

输入正弦波时,输出为相位滞后 90° 的余弦波,且幅度有所衰减,这一过程在文中有定量计算:

图9 正弦信号积分计算

图9 正弦信号积分计算

注意,输入信号 5KHz 远大于电路的截止频率 freq_low,所以处于有效积分的频段。

总结

今天我们通过运放积分电路,从开环响应、基础积分器到优化积分器,探究了 RC 参数对波特图(频率响应)的影响,并完成了正弦信号积分输出的瞬态分析验证。


案例代码

本文 LTspice 案例上传至 Gitee (LTspice 案例 19),可下载运行:


参考资料

  1. https://www.amazon.com/dp/1796856894

  2. https://open.umn.edu/opentextbooks/textbooks/operational-amplifiers-linear-integrated-circuits-theory-and-application-3e

  3. https://www2.mvcc.edu/users/faculty/jfiore/OpAmps/OperationalAmplifiersAndLinearICs_3E.pdf


相关前文


欢迎关注我的微信公众号“疯狂的运放”,及时收到最新的推文。