前言

今天我们介绍运放的环路增益(Loop Gain),又称损耗因子(Sacrifice Factor)

内容及素材均来自于书籍《 Operational Amplifiers & Linear Integrated Circuits: Theory and Application 》,该书官网还提供开源版本,详见参考链接 [1]、[2] :

图1 Op-Amp 书籍

图1 Op-Amp 书籍

我只做了一些要点的脉络梳理,细节详情请看原文。


一、RC 滞后网络

书中先从 RC 滞后网络(Lag Network)切入,它由电阻 R 与电容 C 串联构成,接着展示了其增益与相位的波特图特性:

图2 RC 滞后网络

图2 RC 滞后网络

图3 增益波特图

图3 增益波特图

图4 相位波特图

图4 相位波特图

这里面有几个要点是:

  • 波特图是频率响应的近似表示。
  • 增益在截止频率fc之后,以 - 6dB / 倍频程衰减。
  • 相位在fc处滞后 - 45°,10倍fc处趋近 - 90°。

之所以介绍该网络,是因为运放的频率 / 相位响应与它具有相似属性,可作为理解运放频率特性的基础。


二、运放

理想运放的假设条件为:

  • 开环增益无穷大;
  • 输入电阻无穷大;
  • 输出电阻为 0;
  • 带宽无穷大、失调为 0。

书中介绍了 μA741、LF411 等真实运放,一些实际的参数可能是:

  • 输入电阻典型值达 MΩ 级及以上;
  • 输出电阻通常控制在 100Ω 以内;
  • 电压增益普遍不低于 80 dB(对应 10,000 倍);
  • 输入电流处于 pA 至 nA 级;
  • 开环增益的带宽为如 100 Hz。

之所以运放的频率响应与 RC 滞后网络相似,是因为内部具有补偿电容:

图5 运放内部补偿电容

图5 运放内部补偿电容

补偿电容一般在 pF 级别。


三、负反馈

由于开环增益高达 80 dB 以上,运放默认仅能作比较器,故引入了负反馈(Negative Feedback)。

负反馈,是将部分的输出信号返回至输入端,以弱化输入信号,定义了反馈系数β、反馈信号(Feedback signal)与误差信号(error signal)等概念,最终整体的系统增益称为闭环增益(Closed Loop Gain)

图6 负反馈

图6 负反馈

不难想象,当系统达到稳定状态后,误差信号(error signal)会维持在极小值。

根据负反馈不同的接法,有四种电路配置:

图7 负反馈配置

图7 负反馈配置

最基础的是串并联(Series-Parallel)配置,简称 SP,适用于电压放大,增益以 Vout / Vin 计算。

串并联体现在反馈电路与输入、输出的接法,它通过“串联”扩大输入阻抗,通过“并联”减少输出阻抗,电路图示如下:

图8 Series-Parallel 负反馈配置

图8 Series-Parallel 负反馈配置

注意图中 Rf、Ri 的位置,以及 反馈系数β 的计算方式。

后续以 SP 反馈配置为基础案例进行说明。


四、开环增益、闭环增益、环路增益/损耗因子

开环增益、闭环增益、环路增益/损耗因子的定义如下:

  • 开环增益(Open-loop gain):运放自身无反馈时的增益,符号 Aol。
  • 闭环增益(Closed-loop gain):引入反馈后的增益,如Acl 或 Asp,下标 SP 是指串并联(Series-Parallel)的负反馈配置。
  • 环路增益 / 损耗因子(Loop gain / Sacrifice factor):开环与闭环增益的比值,体现为优化系统性能而牺牲的增益,因此又称为损耗因子,符号S。

下图揭示了它们之间的关系:

图9 Op Amp 增益波特图

图9 Op Amp 增益波特图

其中:

  • 若以 dB 为单位,在增益平坦的频段内,环路增益(dB)等于开环增益(dB)与闭环增益(dB)的差值。
  • 开环、闭环增益的截止频率(f2),二者均对应电压增益衰减至 - 3dB(即 0.707 倍)时的频率。
  • 开环增益的截止频率较小,而闭环增益的截止频率则显著更高。
  • 开环增益在截止频率后,按 - 6dB/2 倍频(或 - 20dB/10 倍频)的斜率衰减。
  • 闭环增益在其截止频率后,会跟随开环增益的衰减斜率下降。

正因为 20dB 电压增益对应 10 倍增益,增益每下降 10 倍(20dB)就对应频率升高 10 倍,二者变化始终呈反比关系,由此引出 增益带宽积(Gain-Bandwidth Product,GBWP) 这一核心参数。

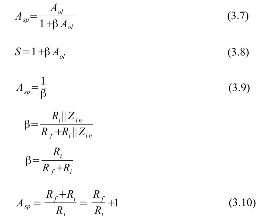
对于 SP 的负反馈配置,一些重要计算公式如下:

图10 SP 负反馈配置计算公式

图10 SP 负反馈配置计算公式

我们要知道 Asp = 1/β 这个公式只是粗略近似,在截止频率之后,增益发生斜率下降是不成立的。

此外, SP 负反馈配置,对于系统的输入电阻、输出电阻均有改善(数学过程省略):

图11 SP 负反馈配置阻抗影响

图11 SP 负反馈配置阻抗影响

一般 Rf、Ri 比 Zout 要大很多,因此输出阻抗可以近似为原来的 1/S 倍,S 就是损耗因子。


五、相位与 Unity Gain

关于相位,先要提及 “unity gain(单位增益)”—— 即增益为 1(对应 0dB)的状态。

前文提到 RC 延迟网络相移共 - 90°,电路其余部分可能会引入额外相移。若在单位增益之前相移达 - 180°,负反馈变正反馈,放大器失稳振荡;而若在单位增益之后相移达 - 180°,虽负反馈转正反馈,但因增益<1,系统会趋于稳定。

图12 相位、Unity Gain、Margin

图12 相位、Unity Gain、Margin

因此让稳定设计的关键是:

  • 确保相移到 - 180° 时,增益已小于 1,该增益与单位增益的间距称为 “gain margin” 。
  • 或者,达到单位增益点的相移离 - 180° 越远,该相移动与 - 180° 的间距称为 “phase margin” 。

总结

今天我们沿着书籍《 Operational Amplifiers & Linear Integrated Circuits: Theory and Application 》,主要梳理了 开环增益、闭环增益、环路增益(损耗因子)、单位增益 等相关内容。


参考资料

  1. https://www.amazon.com/dp/1796856894

  2. https://open.umn.edu/opentextbooks/textbooks/operational-amplifiers-linear-integrated-circuits-theory-and-application-3e


欢迎关注我的微信公众号“疯狂的运放”,及时收到最新的推文。